Hi all, wanted to give an update after my failed egg retrieval end of June that ended up with no PGS normal embryos. We met with our Dr. this week and decided to try another round. I did the antagonist protocol the first round, so we are going to try the long lupron protocol this time. I wish there was an answer as to why my eggs are bad! I know I'm older, but not that old.
The plan is to start stims when we get back from vacation, so around the middle of August. Hope everyone has a great weekend!
Me (36) DH (39) 3 early m/c before pursuing fertility treatments Diagnosis: Unexplained
@AugustAng sounds like we're in the same boat. We haven't done any testing but I did one antagonist cycle, and one lupron cycle. Both resulting in 6 eggs with only 1 D-quality embryo making it to ET resulting in a BFN both times. This time we're doing EPP. FX for both of us to have successful cycles this time around!!
My follicle count was at 15, all under 10mm So reducing the Lupron to 5 units, and then 225 units of Gonal-F and back on Tuesday and Thursday for b/w and u/s
Me: 34 DH: 43 Married March 2012 TTC #1 since 2012
Dx: unexplained infertility (+ treated for hypothyroidism) May 7, 2016: IUI#1 w/Clomid - BFN June 6, 2016: IUI #2 w/Clomid - BFN IVF Consult 1 & 2: June 10, 2016 / July 15, 2016 Started Stims: July 15, 2016 (Lupron, Gonal-F, and Menopur) Trigger ----> 08/03 ----> ER on 08/05 ----> Transfer ------> 08/10 BETA 1 (8/22) - 401 - BETA 2 (8/24) - 541 - BETA 3 (8/26) - 913 Baby Chadwell's First U/S: 09/06/2016 / EDD: 04/28/2017
I had my third u/s and b/w this morning and follicle size and lining both look good and estrogen and progesterone numbers came back at a good level as well. They do want me to drop down to 100 of Gona-F tonight. Then another u/s on Sun am and hopefully triggering on Mon and ER on Wed (which is my birthday).
How long have people waited to get PGS results back? We are using Genesis Genetics. Time seems to be flying by and going so slow at the same time!
Congrats to everyone who's starting or already stimming! Sometimes it seems like time goes slow and other times so fast. Hoping for lots of follies and minimal side effects for all!
AFM, I had my mock transfer today. Not the most fun but she said all looked good. Apparently my uterus is somewhat retroverted, which is fine/good because having a full bladder is less important. I'll take it! I was so uncomfortable during my 45 min drive to the office with a very full bladder! I start stims in two weeks on 8-6. Obviously it depends on the response, but what is the average length of stimming? They told me to prepare for an ER the week of 8-14. Now I'm nervous that my transfer will be on 8-20, and my cousin is marrying my husbands best friend that day and my husband is in the wedding (So glad I didn't end up being in the wedding!). Obviously I will just go to the transfer without him and late to the wedding if needed, but really hoping timing works out!
History in Spoiler
Age: 32 (same with DH). Together since 2006, Married June 2013 and TTC since August 2015 Diagnosis: Mild Endo, DOR (AMH of 1.5), Poor Quality Eggs/embryos, Displaced Window of Implantation (ERA Post Receptive) March-May 2016: 1 TI and 2 IUIs- BFN June 2016- Laproscopy- found/removed mild endo and confirmed only 1 normal healthy ovary. August 2016- IVF #1 with Antagonist Protocol- Cancelled (2 lead follies), converted to IUI- BFN Oct-Nov 2016- IVF #2 with Estrogen Priming Micro Lupron Protocol, 2 eggs retrieved, day 3 transfer of 1- BFN January 2017- New RE, IVF#3 with Estrogen Priming Antagonist Protocol, 12 eggs, 8 mature, 6 fertilized, 2 day 5 early blasts transferred (none to freeze ), BFN May 2017- Sept 2017- Starting Donor Egg process! Waiting for donor to be available... and then she is pregnant at baseline Oct 2017- Donor #2: 25R, 22M,18F, 12 blasts frozen! Fresh transfer cancelled due to thin lining with fluid Nov 2017- Hysterscopy to remove polyp Dec 2017- DE FET #1 on 12/8 on 2 perfect blasts- BFN and devastated Jan-Mar 2018- ERA #1- Post receptive by 24 hours, ERA #2 RECEPTIVE with 4 days of Progesterone Apr 2018- DE FET cancelled for lining issues Jun 2018- DE FET #2 of two 1AA blasts- first BFP ever! Beta 10dp5dt- 378, Beta 14dp5dt- 2840, Beta 16dp5dt- 4035, beta 18dp5dt- 10916. Due on 2/20 with one baby after a vanishing twin Baby Born born early @ 33.5 weeks due to Pre-e Back for # 2!
Hey all! I was in the June/July thread but had some delays and now I'm here .
Had surgery Monday to remove a uterine polyp. That went well and I started stims last night- Gonal F and Menopur. Slightly freaking out that I have to stick myself tonight bc my hubby works late! Have been a little crampy today but feeling good otherwise. ER is scheduled for 8/2 with a fresh transfer 8/7. This is my first IVF round and first try at any infertility treatments in general! Here we go...
Me: 35 DH: 36 Me: 1, possibly 2, blocked tubes DH: severe MFI Married and TTC since 2/15 Started stims 7/21/16, ER 8/2 --> 17 eggs, 5 blasts after PGS testing. Fresh transfer 8/8/16: Chemical Pregnancy FET #1 9/13: PGS tested 5AA, BFN Endometrial biopsy 10/18/16: normal result ERA test 10/18/16: "receptive" result FET #2 1/3/17: natural cycle, BFP!!! TWINS!! EDD: 9/21 (8/31 with twin adjustment)
@jodes727 i used geniesis on my last ivf. I got called 3 days after i sent in my embies. For me i got a call directly from the head guy there and he told ne results. I didnt eveb have to wait for dr to call. They called me. I was surprised because they told me 7 days but it only too 3.
Me Hydrosalpinx(36) & DH 0% morphology (37) Jan 2007- started TTC ( temp everyday and opk and clomid used 12 cycles)
Oct 2010- Natural BFP after 22 months TTC ( NO MEDS USED)
Feb 2011- Still birth @ 16 weeks
May 2011- Myomectomy to remove grapefruit size fibroid
Sept 2015 - FET transferred 2 embryos passed PGS (BOYS)- BFN ( NO FROSTIES left )
Dec 2015- ICH Brain hemorrhage April 2016- Start Birth Control Got cleared for IVF/ diagnosed with MTHFR gene mutation/ HUBBY HAS ABOVE NORMAL MORPH/COUNT/MOTILITY May 2016- Start meds for ER May 1- Start Lupron for long lupron protocol May 13- Started Stims 300 follistim,75 menopur, 10 lupron stimmed for 10 days May 24- 16 eggs retrieved, 12 mature eggs, 8 fertilized, 5 to blast. qty 2 day 6 AA blast. qty 3 7 day blast grades AA and AB. Have 3 NORMAL PGS TESTED GIRLS. 1 "INCONCLUSIVE" embryo still good for use. 7/8- Started AF and Estraidol patches 8/2- FET scheduled ( HUBBY BDAY!!!) and my clinic automatically uses EMBRYO GLUE! 8/2- Transferred 1 6AA pgs tested girl 8/15 - Beta #1 137 I AM PREGNANT!!!! EDD 4/20/17 8/17- Beta #2 269 9/1- MISCARRIAGE. Baby stopped growing at 5 weeks 3 days. 10/19- Have Baseline for IVF#3. Fresh transfer. 10/21- Start stims 300 Follistim 150 Menopur and Ganirelix 11/2/16-ER 43 eggs retrieved. 15 mature. 9 Fertilized. All 9 still growing but 4 are leading and are 8 cell day 3 grade AA. 11/7/16- Fresh transfer of 1 embryo
Sept 2015 - FET transferred 2 embryos passed PGS (BOYS)- BFN ( NO FROSTIES left )
Dec 2015- ICH Brain hemorrhage April 2016- Start Birth Control Got cleared for IVF/ diagnosed with MTHFR gene mutation/ HUBBY HAS ABOVE NORMAL MORPH/COUNT/MOTILITY May 2016- Start meds for ER May 1- Start Lupron for long lupron protocol May 13- Started Stims 300 follistim,75 menopur, 10 lupron stimmed for 10 days May 24- 16 eggs retrieved, 12 mature eggs, 8 fertilized, 5 to blast. qty 2 day 6 AA blast. qty 3 7 day blast grades AA and AB. Have 3 NORMAL PGS TESTED GIRLS. 1 "INCONCLUSIVE" embryo still good for use. 7/8- Started AF and Estraidol patches 8/2- FET scheduled ( HUBBY BDAY!!!) and my clinic automatically uses EMBRYO GLUE! 8/2- Transferred 1 6AA pgs tested girl 8/15 - Beta #1 137 I AM PREGNANT!!!! EDD 4/20/17 8/17- Beta #2 269 9/1- MISCARRIAGE. Baby stopped growing at 5 weeks 3 days. 10/19- Have Baseline for IVF#3. Fresh transfer. 10/21- Start stims 300 Follistim 150 Menopur and Ganirelix 11/2/16-ER 43 eggs retrieved. 15 mature. 9 Fertilized. All 9 still growing but 4 are leading and are 8 cell day 3 grade AA. 11/7/16- Fresh transfer of 1 embryo
@shauna43 thats awesome they called so soon! I hope that's the case for us. We only have 4 to test so maybe that takes less time?
Me: 32, Hubs: 36 Married: September 2013 TTC since April 2014, Dx: MFI DH started Clomid Oct 2015 April-June 2016- 3 IUIs: All BFN July 2016- IVF #1: 16 eggs ->1 PGS-normal embryo Sept 2016- single FET #1: BFN Nov 2016- IVF #2 16 eggs -> 3 PGS-normal embryos Jan 2017- single FET #2: BFN Feb 2017- endometrial scratch March 2017- FET #3 (double transfer): BFP! Beta #1: 386 (9dp5dt), Beta #2: 1,960 (12dp5dt) Pregnant with: TripletsTwins Singleton It's a GIRL! EDD: November 16, 2017 Dx w/ preeclampsia: Updated delivery date: 10/4/17 Hazel Summerlyn Find me on the IG
Sept 2015 - FET transferred 2 embryos passed PGS (BOYS)- BFN ( NO FROSTIES left )
Dec 2015- ICH Brain hemorrhage April 2016- Start Birth Control Got cleared for IVF/ diagnosed with MTHFR gene mutation/ HUBBY HAS ABOVE NORMAL MORPH/COUNT/MOTILITY May 2016- Start meds for ER May 1- Start Lupron for long lupron protocol May 13- Started Stims 300 follistim,75 menopur, 10 lupron stimmed for 10 days May 24- 16 eggs retrieved, 12 mature eggs, 8 fertilized, 5 to blast. qty 2 day 6 AA blast. qty 3 7 day blast grades AA and AB. Have 3 NORMAL PGS TESTED GIRLS. 1 "INCONCLUSIVE" embryo still good for use. 7/8- Started AF and Estraidol patches 8/2- FET scheduled ( HUBBY BDAY!!!) and my clinic automatically uses EMBRYO GLUE! 8/2- Transferred 1 6AA pgs tested girl 8/15 - Beta #1 137 I AM PREGNANT!!!! EDD 4/20/17 8/17- Beta #2 269 9/1- MISCARRIAGE. Baby stopped growing at 5 weeks 3 days. 10/19- Have Baseline for IVF#3. Fresh transfer. 10/21- Start stims 300 Follistim 150 Menopur and Ganirelix 11/2/16-ER 43 eggs retrieved. 15 mature. 9 Fertilized. All 9 still growing but 4 are leading and are 8 cell day 3 grade AA. 11/7/16- Fresh transfer of 1 embryo
@Sunnshine I know they are fairly small! Ahh about to try it here in a few minutes. Are you doing a fresh transfer? And what led to IVF? We have male factor and one, potentially 2 blocked tubes
Me: 35 DH: 36 Me: 1, possibly 2, blocked tubes DH: severe MFI Married and TTC since 2/15 Started stims 7/21/16, ER 8/2 --> 17 eggs, 5 blasts after PGS testing. Fresh transfer 8/8/16: Chemical Pregnancy FET #1 9/13: PGS tested 5AA, BFN Endometrial biopsy 10/18/16: normal result ERA test 10/18/16: "receptive" result FET #2 1/3/17: natural cycle, BFP!!! TWINS!! EDD: 9/21 (8/31 with twin adjustment)
Hi ladies. I'm new on here. I just finished my Ivf cycle. I am extremely lucky and had 8 normal pgs embryos. Now I am currently taking estradiol to get ready for my FET. I had my baseline on Tuesday and everything looked good. We are tentatively scheduled for an 8/8 transfer. Unfortunately my husband will be out of town so my sister will be my escort. I'm excited to get to know some of you. Good luck ladies.
Me (38) DH (40)
May 2010- TTC #1 Aug 2010 - BFP 5-2-11 - DS born. July 2013 - TTC #2 May 2015 - Discuss options with Gyn. Send for HSG. HSG shows lots possible scarring. June 2015 - referred to RE - diagnosed with PCOS and suggests laparoscopy and hysteroscopy for possible scarring. Insurance doesn't cover so we must wait until new insurance kicks in. Sept. 2015 - Hysteroscopy and laparoscopy to remove many polyps and unfuse Fallopian tube from ovary. Oct. 2015 - TI w/ clomid - BFN Nov. 2015 - TI w/ clomid - BFN Dec. 2015 - TI w/ clomid - BFN Jan. 2016 - IUI w/ clomid - BFN Feb. 2016 - IUI w/ clomid - BFN Mar. 2016 - IUI w/ clomid and ovidrel - BFN Apr. 2016 - IUI w/clomid - BFN May 2016 - decide to move on to IVF June 2016 - start BCP, Lupron and Follistim - meds work a little too well estradiol level over 6000 on day 8 of stims July 5, 2016 - ER - retrieve 46 eggs, 42 are mature. 28 fertilize with ICSI, 26 on day 3, 16 on day 5 biopsied and frozen. PGS testing show that 8 are normal. July 2016 - start FET #1 - estradiol and progesterone Aug. 8 - transfer 1 embryo - BFN. Sept. 15 - transfer 1 embryo - BFP beta #1 86, beta #2 101 mc 5w5d October 28 - transfer 1 embryo - BFN December 19 - transfer 2 embryo - BFP beta #1 25, beta #2 20, beta #3 120 beta kept climbing, but no baby mc 8w3d Long needed break January - August (During the break we had ERA, recurrent loss blood work and saline sono.) Hooray for receptivitiy!!! Sept. 6 - transfer 1 embryo - BFN
Anybody else estrogen priming, AF came a week early, just wondering if anyone had that occur?
Me & DH - 41, DH has a cyst blocking his tubes, I'm just old. IVF #1 scheduled May 2016 - 375/525 follistim, 75 menopur - cancelled cycle Day 6 IVF #2 scheduled July 2016 - new protocol, switcharoo...IUI June 2016 - BFN IVF#3 scheduled August 2016 - estrogen & testosterone primed for 3 wks - ganirelix 7 days leading up to stim - 500 follistim, 75 menopur, 150 clomid , no follicle growth on day 6, stopped injectibles. Scanned day 9 just to check, some growth, 3 days 200 mg clomid, day 12 more growth, 100 follistim, 75 menopur, start ganirelix on day 13, ER = 0 eggs, ovulated to soon ( ) IVF#4 scheduled Sept 2016 - Microdose Flare protocol, cancelled stim day 6 converted to IUI (one dominant follicle) IUI cancelled ovulated too soon again. Taking a mental health break. IVF#5 December 2016 - New protocol, same results. My adventure is over.
@jodes727 We seem to be on the same schedule. I hope the best for you!!! I just came home from my latest check in. I have a lot of follicles (too many) and hoping the Lupron trigger Monday prevents OHSS. I am scared a bit there. I also have rising progesterone, so the Dr said I am probably going to have to freeze them all and wait until my body calms down a bit. The timing right now was perfect. Kind of bummed to wait, but if it makes the difference between a successful cycle, then I am in.
I am not doing PGS. Part of the reason was that I didn't want to wait! {that sounds terrible} Now that I know I have to freeze I am thinking more about it. Especially if we end up with a decent number of eggs.
@KirstenCas I am doing EPP. But I just had my day 3 US yesterday so I won't start the patches until after I ovulate I'm about 2 weeks. I have my consult with the RE on Tuesday if you'd like me to ask any questions!
Update: I went today for my first monitor appointment. Things are looking good maybe a little a head of schedule as there are 6 follicles messuring just above 13 and 5 under 10. So I start the centrotide tonight and he is increasing my menopur and gonal f. Recheck on Monday.
hope everyone is staying cool!! It's nasty hot outside. I plan on staying in all weekend! :-) Hubby will do all the cooking on the grill. What's everyone's weekend plans?
@Sunnshine how exciting!! I have my appt on Monday morning. I can't wait. I survived giving myself the injections. Took a few tries Ive got a major headache today- and I never have headaches!
im in California and it's flipping HOT here. Staying in as well!
Me: 35 DH: 36 Me: 1, possibly 2, blocked tubes DH: severe MFI Married and TTC since 2/15 Started stims 7/21/16, ER 8/2 --> 17 eggs, 5 blasts after PGS testing. Fresh transfer 8/8/16: Chemical Pregnancy FET #1 9/13: PGS tested 5AA, BFN Endometrial biopsy 10/18/16: normal result ERA test 10/18/16: "receptive" result FET #2 1/3/17: natural cycle, BFP!!! TWINS!! EDD: 9/21 (8/31 with twin adjustment)
@bells52000, nice to have someone on the same schedule . It sounds like I may be headed in the direction as you with possible ohss. The nurse called back with my blood work from this morning and my estrogen continue to go up and is now at a level where they are concerned about it. I will go back in again tomorrow morning for another ultrasound and blood work but they are thinking they will put me on a medication for it ( can't remember the name). Since we are doing the PGS testing she didn't seem too concerned because we will be doing a FET.
Hopefully you body calms down and you can do the fresh transfer! Good luck!
Hi ladies, not sure if this is the right place for me. (Warning: child mentioned)
we were extremely lucky and got pregnant with my DS the old fashioned way. After 4 years of trying we are currently in the middle of our 1st cycle. Our retrieval is sometime next week. I looked at the secondary infertility board and they ask that women in their first cycle don't post. If this isn't the right place for me, I totally get it. Thanks ladies and sending baby dust to you all.
@photogdana Welcome and God luck with your cycle! I think you are more than welcome here,when is your next monitoring appointment?! my second FET is scheduled for next Monday
Me: 29 DH:38
First RE Consult 3/9/2016 IVF ER 5/5/2016 23 eggs retrieved; 15 mature; 8 developed to embryos; 6 frozen day 5; 2 frozen day 6 Transfer canceled OHSS FET #1 6/2/2016 transferred 2 embryos Beta #1 6/15/2016 BFN FET #2 8/1/2016 transferred last 2 embryos (lost 4 in the thaw) Beta #1 8/12/16 BFN IVF #2: Started stims 12/2 ER #2 12/14/2016; 16 follies retrieved, 8 fertilized to day 1, 4 frozen day 5, and 1 frozen day 6 Praying my frosties are strong through the next thaw FX FET # 3 2/07/2017 2 embabies thawed 2 embabies transferred 2/14/2017 *TW* First ever BFP Beta #1 2/20/2017 277 Beta #2 2/23/2017 8,945...did I hear you right! 3/10/2017 One beating heart HR 168!! So very happy 3/10/2017 Official graduate from Jones Institute for Reproductive Health!! Couldn't help but cry 6/8/2017 Anatomy Scan proves ITS A GIRL! 10/30/17 An angel was Born; Riley Charlize 7:50 AM my heart is so full
@Joslynj11 thank you. I had one yesterday and my next is tomorrow morning. The first scan showed 10 follicles, yesterday's showed 5 that were actually growing. I know I just need 1 good one but the fact that the number keeps going down is really getting to me. I feel deep down that this won't be our only cycle.
Thanks @kyrgyzshan I'm going to call them in the morning. From what I understand bleeding is pretty typical.
Me & DH - 41, DH has a cyst blocking his tubes, I'm just old. IVF #1 scheduled May 2016 - 375/525 follistim, 75 menopur - cancelled cycle Day 6 IVF #2 scheduled July 2016 - new protocol, switcharoo...IUI June 2016 - BFN IVF#3 scheduled August 2016 - estrogen & testosterone primed for 3 wks - ganirelix 7 days leading up to stim - 500 follistim, 75 menopur, 150 clomid , no follicle growth on day 6, stopped injectibles. Scanned day 9 just to check, some growth, 3 days 200 mg clomid, day 12 more growth, 100 follistim, 75 menopur, start ganirelix on day 13, ER = 0 eggs, ovulated to soon ( ) IVF#4 scheduled Sept 2016 - Microdose Flare protocol, cancelled stim day 6 converted to IUI (one dominant follicle) IUI cancelled ovulated too soon again. Taking a mental health break. IVF#5 December 2016 - New protocol, same results. My adventure is over.
@Joslynj11 I was the opposite, I didn't test at all last time and when I got the BFN news I broke down, so this time I'll take a test the morning before the blood test. I hope you find some things to keep you distracted during the wait...
@AugustAng sorry to hear about the failed attempt, Have you thought about doing acupuncture during the treatment? I'm doing it this cycle and I've heard it can have good results. My last attempt resulted in poor egg quality, so I'm having acupuncture and taking CoQ10 to hopefully help that along. Its such a frustrating process and trying to figure out how I can help it along is slightly stressful also.
Sending all the good vibes out to everyone wherever they are in their schedule! Hoping everyone had a good weekend!
**TW** Me & DH - 31 TTC since December 2011 Diagnosis: Unexplained, although mild polycystic ovaries (not syndrome) and irregular cycles 2013/14: 6 rounds clomid, Aug 2015: IVF #1 = Antagonist Cycle: 100 Puregon and Orgalutran 21 eggs collected, only 1 viable embryo, transferred but BFN July/Aug 2016: IVF #2 (with acupuncture) = 87.5 Gonal F and Synarel Spray 2xdaily ER 8/8, transferred 1 day 5 blastocyst 13/8, 2 frosties. Beta #1 = 85 Beta #2 = 242 EDD 1st May 2017 *Baby Boy*
@jodes727 good luck tomorrow! Hope everything works out well! I am hoping that they will schedule my trigger tomorrow. Fingers are crossed they don't cancel my retrieval. Honestly the thought of frozen does make good sense to get my body back to normal before they transfer. I just hope I end up with something to transfer.
good luck to everyone starting and progressing this week!
welcome @PhotogDana !! you are more than welcome here! I find it interesting that the secondary infertility board made you feel unwelcome, especially since that what you're "dealing" with...! Fingers crossed that your next monitoring appointment shows more growing follicles!
Hi @teriulbricht, I think I am going to do acupuncture this time. I did it during one of my IUI attempts. The problem I had is my feet were freezing even with the warming lamp and I never got the super relaxed feeling that most people rave about. That IUI cycle I did produce a ton of follicles, and we actually had to end up cancelling it, but I was on a higher dosage of medication too. How many times are you going to get acupuncture this cycle?
Me (36) DH (39) 3 early m/c before pursuing fertility treatments Diagnosis: Unexplained
Had my first monitoring appt today. 18 follicles, 16 over 5mm. I think that's good? Ah! This is all so nerve wrecking!
Me: 35 DH: 36 Me: 1, possibly 2, blocked tubes DH: severe MFI Married and TTC since 2/15 Started stims 7/21/16, ER 8/2 --> 17 eggs, 5 blasts after PGS testing. Fresh transfer 8/8/16: Chemical Pregnancy FET #1 9/13: PGS tested 5AA, BFN Endometrial biopsy 10/18/16: normal result ERA test 10/18/16: "receptive" result FET #2 1/3/17: natural cycle, BFP!!! TWINS!! EDD: 9/21 (8/31 with twin adjustment)
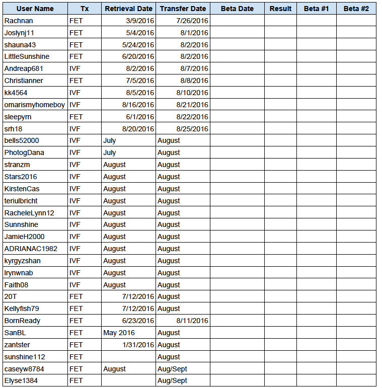
I have added all the newbies who have introduced themselves. If you didn't specify if you are doing fresh or frozen, I defaulted to fresh IVF. Feel free to change your info in the spreadsheet if it is incorrect! This will help us keep track of when your egg retrievals and transfers are, as we are all here to support!
Wow it sounds like everyone is moving along nicely!
@Rachnan Looks like your transfer is tomorrow! Ahhhh good luck to you! Looks like you'll be the first of our group to be PUPO!
Good luck on Wednesday @jodes727, it looks like you're up next for ER! I hope it is quick and painless
AFM, I've got good news to report! I apologize for being MIA the last few days. My mom has been in town (she flew in for my egg retrieval) so I've been preoccupied with her. Anyway, at my scan on Friday I was told that I had 10 follicles and they were a little behind on development. The nurse said that was likely caused by AF (which decided to start the day after I began stims). My estrogen was also in the 200 range so my doctor decided to add a second vial of menopur to my dose. Last night we added ganirelix and I went in for another scan this morning. My actual doctor did my scan and he said that everything looks really, really good! I have a lot of follicles all within the 11-13 mm range, all growing at the same rate. He said he expects us to get over 20 eggs at my retrieval, which will likely be on Friday. I'm so excited to get this good news! This has been such a strange cycle, what with my cyst and the delays and weird ultrasounds/labs so I'm just so relieved that things are looking good! I am also thankful that the retrieval won't be before Friday. I only work Monday through Thursday and I'm glad I won't have to miss any days since we have a trip planned for 11 days early August!
Just a couple side notes I wanted to add: ever since we added a second vial of menopur the shots have been stinging. But once we added ganirelix last night it stung really bad and that burning feeling lasted for almost an hour! Anyone else experience anything similar? My doctor said not to worry, so I'm not. Just venting. I'm also starting to feel very "full" down there. I guess that's to be expected. Lots of pressure, kind of crampy and bloaty. I think by Friday I will be more than ready to get those eggs out!
@wifeinraleigh28 - wow, that is great news! that is so exciting ER is on Friday. Hopefully the PGS results don't take too long... Do they have an idea how soon the FET would be after?
History in Spoiler
Age: 32 (same with DH). Together since 2006, Married June 2013 and TTC since August 2015 Diagnosis: Mild Endo, DOR (AMH of 1.5), Poor Quality Eggs/embryos, Displaced Window of Implantation (ERA Post Receptive) March-May 2016: 1 TI and 2 IUIs- BFN June 2016- Laproscopy- found/removed mild endo and confirmed only 1 normal healthy ovary. August 2016- IVF #1 with Antagonist Protocol- Cancelled (2 lead follies), converted to IUI- BFN Oct-Nov 2016- IVF #2 with Estrogen Priming Micro Lupron Protocol, 2 eggs retrieved, day 3 transfer of 1- BFN January 2017- New RE, IVF#3 with Estrogen Priming Antagonist Protocol, 12 eggs, 8 mature, 6 fertilized, 2 day 5 early blasts transferred (none to freeze ), BFN May 2017- Sept 2017- Starting Donor Egg process! Waiting for donor to be available... and then she is pregnant at baseline Oct 2017- Donor #2: 25R, 22M,18F, 12 blasts frozen! Fresh transfer cancelled due to thin lining with fluid Nov 2017- Hysterscopy to remove polyp Dec 2017- DE FET #1 on 12/8 on 2 perfect blasts- BFN and devastated Jan-Mar 2018- ERA #1- Post receptive by 24 hours, ERA #2 RECEPTIVE with 4 days of Progesterone Apr 2018- DE FET cancelled for lining issues Jun 2018- DE FET #2 of two 1AA blasts- first BFP ever! Beta 10dp5dt- 378, Beta 14dp5dt- 2840, Beta 16dp5dt- 4035, beta 18dp5dt- 10916. Due on 2/20 with one baby after a vanishing twin Baby Born born early @ 33.5 weeks due to Pre-e Back for # 2!
@wifeinraleigh28 yay on the good scan! That's awesome! As for the menopur, I stared both cycle at two vials. It does sting a lot. I found that if I injected very slowly, with the needle almost perpendicular to the site, it helped ease the stinging, not nearly as bad. The full feeling and being bloated is something I definitely remember. I have no helpful advise on that. Sorry.
Me:32 DH:36 Me: DOR, poor egg quality, MTHFR DH: MFI TTC since 3/2014 2015: 3 IUI's-BFN 12/2015: 1st IVF cycle-(9 follicles retrieved, 5 mature, 3 fertilized w/ICSI, transferred 1 excellent and 1 good embryo on day 3)-chemical pregnancy 3/2016: 2nd IVF cycle- canceled (3 follicles retrieved, 3 mature, all fertilized w/ICSI, 1 fragmented, 2 arrested) 3/2016: RE suggested donor eggs- taking an ivf break and to supplement 9/2016: 3rd ivf cycle-cancelled due to early ovulation Oct./Nov 2016: 4th ivf cycle- EPP-AFC:5, retrieved 10, 10 mature, 8 fertilized with ICSI, 6 blastocysts biopsied and frozen. 3 CCS normal embryos
1/9/17: transferred 1 embryo-BFP 1/16 1/18/17: beta #1-104 1/20/17: beta #2-174 2/2/17: first u/s, heartbeat of 107 at 6w1d 7/20/17: baby boy born at 30+3 via emergency c-section
@wifeinraleigh28- yay for great news!! I've been thinking about you and wondering how your scans have gone. The menopur is known to sting really bad. I went super duper slow. I mean realllllly slow injecting it which helped a lot. If it even started to sting, I would stop injecting, wait a couple seconds, and then start again. I can't wait to hear how everything goes on Friday!
Me (36) DH (39) 3 early m/c before pursuing fertility treatments Diagnosis: Unexplained
@wifeinraleigh28 Awesome news at your appointment! I can't wait for your next update and to hear when the ER date will be!!
@Rachnan Good Luck tomorrow!!! I can't wait for you to be PUPO!
Me: 29 DH:38
First RE Consult 3/9/2016 IVF ER 5/5/2016 23 eggs retrieved; 15 mature; 8 developed to embryos; 6 frozen day 5; 2 frozen day 6 Transfer canceled OHSS FET #1 6/2/2016 transferred 2 embryos Beta #1 6/15/2016 BFN FET #2 8/1/2016 transferred last 2 embryos (lost 4 in the thaw) Beta #1 8/12/16 BFN IVF #2: Started stims 12/2 ER #2 12/14/2016; 16 follies retrieved, 8 fertilized to day 1, 4 frozen day 5, and 1 frozen day 6 Praying my frosties are strong through the next thaw FX FET # 3 2/07/2017 2 embabies thawed 2 embabies transferred 2/14/2017 *TW* First ever BFP Beta #1 2/20/2017 277 Beta #2 2/23/2017 8,945...did I hear you right! 3/10/2017 One beating heart HR 168!! So very happy 3/10/2017 Official graduate from Jones Institute for Reproductive Health!! Couldn't help but cry 6/8/2017 Anatomy Scan proves ITS A GIRL! 10/30/17 An angel was Born; Riley Charlize 7:50 AM my heart is so full
Re: August/September IVF/FET
Married March 2012
TTC #1 since 2012
May 7, 2016: IUI#1 w/Clomid - BFN
June 6, 2016: IUI #2 w/Clomid - BFN
IVF Consult 1 & 2: June 10, 2016 / July 15, 2016
Started Stims: July 15, 2016 (Lupron, Gonal-F, and Menopur)
Trigger ----> 08/03 ----> ER on 08/05 ----> Transfer ------> 08/10
BETA 1 (8/22) - 401 - BETA 2 (8/24) - 541 - BETA 3 (8/26) - 913
Baby Chadwell's First U/S: 09/06/2016 / EDD: 04/28/2017
The plan is to start stims when we get back from vacation, so around the middle of August. Hope everyone has a great weekend!
3 early m/c before pursuing fertility treatments
Diagnosis: Unexplained
IUI #2: Mar 2016 (Follistim + Ganirelix + Ovidrel) *BFN
IUI #3: Apr 2016 (Follistim + Ganirelix + Ovidrel) *BFN
IUI #4: May 2016(Follistim + Ganirelix + Ovidrel) *BFN
IVF #2: begin stims mid August
My follicle count was at 15, all under 10mm
So reducing the Lupron to 5 units, and then 225 units of Gonal-F and back on Tuesday and Thursday for b/w and u/s
Married March 2012
TTC #1 since 2012
May 7, 2016: IUI#1 w/Clomid - BFN
June 6, 2016: IUI #2 w/Clomid - BFN
IVF Consult 1 & 2: June 10, 2016 / July 15, 2016
Started Stims: July 15, 2016 (Lupron, Gonal-F, and Menopur)
Trigger ----> 08/03 ----> ER on 08/05 ----> Transfer ------> 08/10
BETA 1 (8/22) - 401 - BETA 2 (8/24) - 541 - BETA 3 (8/26) - 913
Baby Chadwell's First U/S: 09/06/2016 / EDD: 04/28/2017
I had my third u/s and b/w this morning and follicle size and lining both look good and estrogen and progesterone numbers came back at a good level as well. They do want me to drop down to 100 of Gona-F tonight. Then another u/s on Sun am and hopefully triggering on Mon and ER on Wed (which is my birthday).
How long have people waited to get PGS results back? We are using Genesis Genetics. Time seems to be flying by and going so slow at the same time!
Hope everyone has a good start to their weekend!
3 early m/c before pursuing fertility treatments
Diagnosis: Unexplained
IUI #2: Mar 2016 (Follistim + Ganirelix + Ovidrel) *BFN
IUI #3: Apr 2016 (Follistim + Ganirelix + Ovidrel) *BFN
IUI #4: May 2016(Follistim + Ganirelix + Ovidrel) *BFN
IVF #2: begin stims mid August
AFM, I had my mock transfer today. Not the most fun but she said all looked good. Apparently my uterus is somewhat retroverted, which is fine/good because having a full bladder is less important. I'll take it! I was so uncomfortable during my 45 min drive to the office with a very full bladder! I start stims in two weeks on 8-6. Obviously it depends on the response, but what is the average length of stimming? They told me to prepare for an ER the week of 8-14. Now I'm nervous that my transfer will be on 8-20, and my cousin is marrying my husbands best friend that day and my husband is in the wedding (So glad I didn't end up being in the wedding!). Obviously I will just go to the transfer without him and late to the wedding if needed, but really hoping timing works out!
Diagnosis: Mild Endo, DOR (AMH of 1.5), Poor Quality Eggs/embryos, Displaced Window of Implantation (ERA Post Receptive)
March-May 2016: 1 TI and 2 IUIs- BFN
June 2016- Laproscopy- found/removed mild endo and confirmed only 1 normal healthy ovary.
August 2016- IVF #1 with Antagonist Protocol- Cancelled (2 lead follies), converted to IUI- BFN
Oct-Nov 2016- IVF #2 with Estrogen Priming Micro Lupron Protocol, 2 eggs retrieved, day 3 transfer of 1- BFN
January 2017- New RE, IVF#3 with Estrogen Priming Antagonist Protocol, 12 eggs, 8 mature, 6 fertilized, 2 day 5 early blasts transferred (none to freeze
May 2017- Sept 2017- Starting Donor Egg process! Waiting for donor to be available... and then she is pregnant at baseline
Oct 2017- Donor #2: 25R, 22M,18F, 12 blasts frozen! Fresh transfer cancelled due to thin lining with fluid
Nov 2017- Hysterscopy to remove polyp
Dec 2017- DE FET #1 on 12/8 on 2 perfect blasts- BFN and devastated
Jan-Mar 2018- ERA #1- Post receptive by 24 hours, ERA #2 RECEPTIVE with 4 days of Progesterone
Apr 2018- DE FET cancelled for lining issues
Jun 2018- DE FET #2 of two 1AA blasts- first BFP ever! Beta 10dp5dt- 378, Beta 14dp5dt- 2840, Beta 16dp5dt- 4035, beta 18dp5dt- 10916. Due on 2/20 with one baby after a vanishing twin
Baby Born born early @ 33.5 weeks due to Pre-e
Back for # 2!
Had surgery Monday to remove a uterine polyp. That went well and I started stims last night- Gonal F and Menopur. Slightly freaking out that I have to stick myself tonight bc my hubby works late! Have been a little crampy today but feeling good otherwise. ER is scheduled for 8/2 with a fresh transfer 8/7. This is my first IVF round and first try at any infertility treatments in general! Here we go...
Me: 1, possibly 2, blocked tubes
DH: severe MFI
Married and TTC since 2/15
Started stims 7/21/16, ER 8/2 --> 17 eggs, 5 blasts after PGS testing.
Fresh transfer 8/8/16: Chemical Pregnancy
FET #1 9/13: PGS tested 5AA, BFN
Endometrial biopsy 10/18/16: normal result
ERA test 10/18/16: "receptive" result
FET #2 1/3/17: natural cycle, BFP!!! TWINS!! EDD: 9/21 (8/31 with twin adjustment)
Our cycles are so close! This is night 3 of stims for me, so we are about a day off. This is also my fist time doing IVF and taking fertility meds.
I started doing my own meds last night. It's not so bad after you get over the little fear. I'm glad the needles are small. :-)
Jan 2007- started TTC ( temp everyday and opk and clomid used 12 cycles)
April 2016- Start Birth Control Got cleared for IVF/ diagnosed with MTHFR gene mutation/ HUBBY HAS ABOVE NORMAL MORPH/COUNT/MOTILITY
May 2016- Start meds for ER
May 1- Start Lupron for long lupron protocol
May 13- Started Stims 300 follistim,75 menopur, 10 lupron stimmed for 10 days
May 24- 16 eggs retrieved, 12 mature eggs, 8 fertilized, 5 to blast. qty 2 day 6 AA blast. qty 3 7 day blast grades AA and AB.
Have 3 NORMAL PGS TESTED GIRLS. 1 "INCONCLUSIVE" embryo still good for use.
7/8- Started AF and Estraidol patches
8/2- FET scheduled ( HUBBY BDAY!!!) and my clinic automatically uses EMBRYO GLUE!
8/2- Transferred 1 6AA pgs tested girl
8/15 - Beta #1 137 I AM PREGNANT!!!! EDD 4/20/17
8/17- Beta #2 269
9/1- MISCARRIAGE. Baby stopped growing at 5 weeks 3 days.
10/19- Have Baseline for IVF#3. Fresh transfer.
10/21- Start stims 300 Follistim 150 Menopur and Ganirelix
11/2/16-ER 43 eggs retrieved. 15 mature. 9 Fertilized. All 9 still growing but 4 are leading and are 8 cell day 3 grade AA.
11/7/16- Fresh transfer of 1 embryo
Jan 2007- started TTC ( temp everyday and opk and clomid used 12 cycles)
April 2016- Start Birth Control Got cleared for IVF/ diagnosed with MTHFR gene mutation/ HUBBY HAS ABOVE NORMAL MORPH/COUNT/MOTILITY
May 2016- Start meds for ER
May 1- Start Lupron for long lupron protocol
May 13- Started Stims 300 follistim,75 menopur, 10 lupron stimmed for 10 days
May 24- 16 eggs retrieved, 12 mature eggs, 8 fertilized, 5 to blast. qty 2 day 6 AA blast. qty 3 7 day blast grades AA and AB.
Have 3 NORMAL PGS TESTED GIRLS. 1 "INCONCLUSIVE" embryo still good for use.
7/8- Started AF and Estraidol patches
8/2- FET scheduled ( HUBBY BDAY!!!) and my clinic automatically uses EMBRYO GLUE!
8/2- Transferred 1 6AA pgs tested girl
8/15 - Beta #1 137 I AM PREGNANT!!!! EDD 4/20/17
8/17- Beta #2 269
9/1- MISCARRIAGE. Baby stopped growing at 5 weeks 3 days.
10/19- Have Baseline for IVF#3. Fresh transfer.
10/21- Start stims 300 Follistim 150 Menopur and Ganirelix
11/2/16-ER 43 eggs retrieved. 15 mature. 9 Fertilized. All 9 still growing but 4 are leading and are 8 cell day 3 grade AA.
11/7/16- Fresh transfer of 1 embryo
Married: September 2013
TTC since April 2014, Dx: MFI
DH started Clomid Oct 2015
April-June 2016- 3 IUIs: All BFN
July 2016- IVF #1: 16 eggs ->1 PGS-normal embryo
Sept 2016- single FET #1: BFN
Nov 2016- IVF #2 16 eggs -> 3 PGS-normal embryos
Jan 2017- single FET #2: BFN
Feb 2017- endometrial scratch
March 2017- FET #3 (double transfer): BFP!
Beta #1: 386 (9dp5dt), Beta #2: 1,960 (12dp5dt)
Pregnant with: Triplets Twins Singleton
It's a GIRL!
EDD: November 16, 2017
Dx w/ preeclampsia: Updated delivery date: 10/4/17
Find me on the IG
I'm doing a 5dt
Married: October 2014
Me: 35 DH: 39
TTC since November 2014
Diagnosis: Anovulation from PCOSish without syndrome, Male factors - low motility and morphology issues
April-Sept. 2015 - Clomid and TI - BFN
Dec. 2015- HSG - Clear tubes
Jan., Feb., March 2016 - Letrozole 7.5mg and TI with HCG trigger= BFN
April, May, June 2016 - Letrozole 7.5mg and IUI with HCG trigger= BFN
September 2016 - IVF round #1;ER 9/26 with ICSI on 14 eggs - developed mild OHSS.
Sept 2016 - 12 non-PGS embryos frozen (5 5AAs)
FET #1 Jan 16, 2017 - BFP!- MC at 6W5d
FET #2 May 8, 2017 - BFP! EDD 1-24-2018
Jan 2007- started TTC ( temp everyday and opk and clomid used 12 cycles)
April 2016- Start Birth Control Got cleared for IVF/ diagnosed with MTHFR gene mutation/ HUBBY HAS ABOVE NORMAL MORPH/COUNT/MOTILITY
May 2016- Start meds for ER
May 1- Start Lupron for long lupron protocol
May 13- Started Stims 300 follistim,75 menopur, 10 lupron stimmed for 10 days
May 24- 16 eggs retrieved, 12 mature eggs, 8 fertilized, 5 to blast. qty 2 day 6 AA blast. qty 3 7 day blast grades AA and AB.
Have 3 NORMAL PGS TESTED GIRLS. 1 "INCONCLUSIVE" embryo still good for use.
7/8- Started AF and Estraidol patches
8/2- FET scheduled ( HUBBY BDAY!!!) and my clinic automatically uses EMBRYO GLUE!
8/2- Transferred 1 6AA pgs tested girl
8/15 - Beta #1 137 I AM PREGNANT!!!! EDD 4/20/17
8/17- Beta #2 269
9/1- MISCARRIAGE. Baby stopped growing at 5 weeks 3 days.
10/19- Have Baseline for IVF#3. Fresh transfer.
10/21- Start stims 300 Follistim 150 Menopur and Ganirelix
11/2/16-ER 43 eggs retrieved. 15 mature. 9 Fertilized. All 9 still growing but 4 are leading and are 8 cell day 3 grade AA.
11/7/16- Fresh transfer of 1 embryo
Me: 1, possibly 2, blocked tubes
DH: severe MFI
Married and TTC since 2/15
Started stims 7/21/16, ER 8/2 --> 17 eggs, 5 blasts after PGS testing.
Fresh transfer 8/8/16: Chemical Pregnancy
FET #1 9/13: PGS tested 5AA, BFN
Endometrial biopsy 10/18/16: normal result
ERA test 10/18/16: "receptive" result
FET #2 1/3/17: natural cycle, BFP!!! TWINS!! EDD: 9/21 (8/31 with twin adjustment)
May 2010- TTC #1
Aug 2010 - BFP
5-2-11 - DS born.
July 2013 - TTC #2
May 2015 - Discuss options with Gyn. Send for HSG. HSG shows lots possible scarring.
June 2015 - referred to RE - diagnosed with PCOS and suggests laparoscopy and hysteroscopy for possible scarring. Insurance doesn't cover so we must wait until new insurance kicks in.
Sept. 2015 - Hysteroscopy and laparoscopy to remove many polyps and unfuse Fallopian tube from ovary.
Oct. 2015 - TI w/ clomid - BFN
Nov. 2015 - TI w/ clomid - BFN
Dec. 2015 - TI w/ clomid - BFN
Jan. 2016 - IUI w/ clomid - BFN
Feb. 2016 - IUI w/ clomid - BFN
Mar. 2016 - IUI w/ clomid and ovidrel - BFN
Apr. 2016 - IUI w/clomid - BFN
May 2016 - decide to move on to IVF
June 2016 - start BCP, Lupron and Follistim - meds work a little too well estradiol level over 6000 on day 8 of stims
July 5, 2016 - ER - retrieve 46 eggs, 42 are mature. 28 fertilize with ICSI, 26 on day 3, 16 on day 5 biopsied and frozen. PGS testing show that 8 are normal.
July 2016 - start FET #1 - estradiol and progesterone
Aug. 8 - transfer 1 embryo - BFN.
Sept. 15 - transfer 1 embryo - BFP beta #1 86, beta #2 101 mc 5w5d
October 28 - transfer 1 embryo - BFN
December 19 - transfer 2 embryo - BFP beta #1 25, beta #2 20, beta #3 120 beta kept climbing, but no baby mc 8w3d
Long needed break January - August (During the break we had ERA, recurrent loss blood work and saline sono.) Hooray for receptivitiy!!!
Sept. 6 - transfer 1 embryo - BFN
IVF #1 scheduled May 2016 - 375/525 follistim, 75 menopur - cancelled cycle Day 6
IVF #2 scheduled July 2016 - new protocol, switcharoo...IUI June 2016 - BFN
IVF#3 scheduled August 2016 - estrogen & testosterone primed for 3 wks - ganirelix 7 days leading up to stim - 500 follistim, 75 menopur, 150 clomid , no follicle growth on day 6, stopped injectibles. Scanned day 9 just to check, some growth, 3 days 200 mg clomid, day 12 more growth, 100 follistim, 75 menopur, start ganirelix on day 13, ER = 0 eggs, ovulated to soon (
IVF#4 scheduled Sept 2016 - Microdose Flare protocol, cancelled stim day 6 converted to IUI (one dominant follicle)
IVF#5 December 2016 - New protocol, same results. My adventure is over.
I am not doing PGS. Part of the reason was that I didn't want to wait! {that sounds terrible} Now that I know I have to freeze I am thinking more about it. Especially if we end up with a decent number of eggs.
IVF: ER 7/16 40 follies, 23 eggs, 19 mature,
12 fert w/icsi, 6 blasts, 3 PGS norm, 1 unknown.
FET: 9/1/16 transferred 1 CP beta 5.9
FET 2: 11/15/16 transferred 1 CP again!
FET 3: TBD
@christianner welcome!
Update: I went today for my first monitor appointment. Things are looking good maybe a little a head of schedule as there are 6 follicles messuring just above 13 and 5 under 10. So I start the centrotide tonight and he is increasing my menopur and gonal f. Recheck on Monday.
hope everyone is staying cool!! It's nasty hot outside. I plan on staying in all weekend! :-) Hubby will do all the cooking on the grill. What's everyone's weekend plans?
im in California and it's flipping HOT here. Staying in as well!
Me: 1, possibly 2, blocked tubes
DH: severe MFI
Married and TTC since 2/15
Started stims 7/21/16, ER 8/2 --> 17 eggs, 5 blasts after PGS testing.
Fresh transfer 8/8/16: Chemical Pregnancy
FET #1 9/13: PGS tested 5AA, BFN
Endometrial biopsy 10/18/16: normal result
ERA test 10/18/16: "receptive" result
FET #2 1/3/17: natural cycle, BFP!!! TWINS!! EDD: 9/21 (8/31 with twin adjustment)
Hopefully you body calms down and you can do the fresh transfer! Good luck!
(Warning: child mentioned)
we were extremely lucky and got pregnant with my DS the old fashioned way. After 4 years of trying we are currently in the middle of our 1st cycle. Our retrieval is sometime next week. I looked at the secondary infertility board and they ask that women in their first cycle don't post.
If this isn't the right place for me, I totally get it.
Thanks ladies and sending baby dust to you all.
my second FET is scheduled for next Monday
IVF ER 5/5/2016
23 eggs retrieved; 15 mature; 8 developed to embryos; 6 frozen day 5; 2 frozen day 6
Transfer canceled OHSS
FET #1 6/2/2016 transferred 2 embryos
Beta #1 6/15/2016 BFN
FET #2 8/1/2016 transferred last 2 embryos (lost 4 in the thaw)
Beta #1 8/12/16 BFN
IVF #2: Started stims 12/2
ER #2 12/14/2016; 16 follies retrieved, 8 fertilized to day 1, 4 frozen day 5, and 1 frozen day 6
Praying my frosties are strong through the next thaw FX
FET # 3 2/07/2017 2 embabies thawed 2 embabies transferred
2/14/2017 *TW* First ever BFP
Beta #1 2/20/2017 277 Beta #2 2/23/2017 8,945...did I hear you right!
3/10/2017 One beating heart HR 168!! So very happy
3/10/2017 Official graduate from Jones Institute for Reproductive Health!! Couldn't help but cry
6/8/2017 Anatomy Scan proves ITS A GIRL!
10/30/17 An angel was Born; Riley Charlize 7:50 AM my heart is so full
IVF #1 scheduled May 2016 - 375/525 follistim, 75 menopur - cancelled cycle Day 6
IVF #2 scheduled July 2016 - new protocol, switcharoo...IUI June 2016 - BFN
IVF#3 scheduled August 2016 - estrogen & testosterone primed for 3 wks - ganirelix 7 days leading up to stim - 500 follistim, 75 menopur, 150 clomid , no follicle growth on day 6, stopped injectibles. Scanned day 9 just to check, some growth, 3 days 200 mg clomid, day 12 more growth, 100 follistim, 75 menopur, start ganirelix on day 13, ER = 0 eggs, ovulated to soon (
IVF#4 scheduled Sept 2016 - Microdose Flare protocol, cancelled stim day 6 converted to IUI (one dominant follicle)
IVF#5 December 2016 - New protocol, same results. My adventure is over.
@kyrgyzshan here's hoping this time it works out!
@Joslynj11 I was the opposite, I didn't test at all last time and when I got the BFN news I broke down, so this time I'll take a test the morning before the blood test. I hope you find some things to keep you distracted during the wait...
@AugustAng sorry to hear about the failed attempt, Have you thought about doing acupuncture during the treatment? I'm doing it this cycle and I've heard it can have good results. My last attempt resulted in poor egg quality, so I'm having acupuncture and taking CoQ10 to hopefully help that along. Its such a frustrating process and trying to figure out how I can help it along is slightly stressful also.
Sending all the good vibes out to everyone wherever they are in their schedule! Hoping everyone had a good weekend!
Me & DH - 31
TTC since December 2011
Diagnosis: Unexplained, although mild polycystic ovaries (not syndrome) and irregular cycles
2013/14: 6 rounds clomid,
Aug 2015: IVF #1 = Antagonist Cycle: 100 Puregon and Orgalutran
21 eggs collected, only 1 viable embryo, transferred but BFN
July/Aug 2016: IVF #2 (with acupuncture) = 87.5 Gonal F and Synarel Spray 2xdaily
ER 8/8, transferred 1 day 5 blastocyst 13/8, 2 frosties.
Beta #1 = 85 Beta #2 = 242
EDD 1st May 2017 *Baby Boy*
good luck to everyone starting and progressing this week!
IVF: ER 7/16 40 follies, 23 eggs, 19 mature,
12 fert w/icsi, 6 blasts, 3 PGS norm, 1 unknown.
FET: 9/1/16 transferred 1 CP beta 5.9
FET 2: 11/15/16 transferred 1 CP again!
FET 3: TBD
3 early m/c before pursuing fertility treatments
Diagnosis: Unexplained
IUI #2: Mar 2016 (Follistim + Ganirelix + Ovidrel) *BFN
IUI #3: Apr 2016 (Follistim + Ganirelix + Ovidrel) *BFN
IUI #4: May 2016(Follistim + Ganirelix + Ovidrel) *BFN
IVF #2: begin stims mid August
Me: 1, possibly 2, blocked tubes
DH: severe MFI
Married and TTC since 2/15
Started stims 7/21/16, ER 8/2 --> 17 eggs, 5 blasts after PGS testing.
Fresh transfer 8/8/16: Chemical Pregnancy
FET #1 9/13: PGS tested 5AA, BFN
Endometrial biopsy 10/18/16: normal result
ERA test 10/18/16: "receptive" result
FET #2 1/3/17: natural cycle, BFP!!! TWINS!! EDD: 9/21 (8/31 with twin adjustment)
I have added all the newbies who have introduced themselves. If you didn't specify if you are doing fresh or frozen, I defaulted to fresh IVF. Feel free to change your info in the spreadsheet if it is incorrect! This will help us keep track of when your egg retrievals and transfers are, as we are all here to support!
Wow it sounds like everyone is moving along nicely!
@Rachnan Looks like your transfer is tomorrow! Ahhhh good luck to you! Looks like you'll be the first of our group to be PUPO!
Good luck on Wednesday @jodes727, it looks like you're up next for ER! I hope it is quick and painless
AFM, I've got good news to report! I apologize for being MIA the last few days. My mom has been in town (she flew in for my egg retrieval) so I've been preoccupied with her. Anyway, at my scan on Friday I was told that I had 10 follicles and they were a little behind on development. The nurse said that was likely caused by AF (which decided to start the day after I began stims). My estrogen was also in the 200 range so my doctor decided to add a second vial of menopur to my dose. Last night we added ganirelix and I went in for another scan this morning. My actual doctor did my scan and he said that everything looks really, really good! I have a lot of follicles all within the 11-13 mm range, all growing at the same rate. He said he expects us to get over 20 eggs at my retrieval, which will likely be on Friday. I'm so excited to get this good news! This has been such a strange cycle, what with my cyst and the delays and weird ultrasounds/labs so I'm just so relieved that things are looking good! I am also thankful that the retrieval won't be before Friday. I only work Monday through Thursday and I'm glad I won't have to miss any days since we have a trip planned for 11 days early August!
Just a couple side notes I wanted to add: ever since we added a second vial of menopur the shots have been stinging. But once we added ganirelix last night it stung really bad and that burning feeling lasted for almost an hour! Anyone else experience anything similar? My doctor said not to worry, so I'm not. Just venting. I'm also starting to feel very "full" down there. I guess that's to be expected. Lots of pressure, kind of crampy and bloaty. I think by Friday I will be more than ready to get those eggs out!
Me: 34, DH: 38 ~ TTC since 2014
IUI #1-3 (Nov 2015, Feb 2016, May 2016) = BFNs
IVF ER (July 2016) = 7 PGS normal embryos
FET #1 (Sept 2016) = BFP! DD born 5/30/17
FET #2 (April 2019) = BFN
FET #3 (July 2019) = BFP! DS born 3/27/20
@wifeinraleigh28 Great news on all of those follies!
@Andreap681 Congrats on that scan, great news!
Diagnosis: Mild Endo, DOR (AMH of 1.5), Poor Quality Eggs/embryos, Displaced Window of Implantation (ERA Post Receptive)
March-May 2016: 1 TI and 2 IUIs- BFN
June 2016- Laproscopy- found/removed mild endo and confirmed only 1 normal healthy ovary.
August 2016- IVF #1 with Antagonist Protocol- Cancelled (2 lead follies), converted to IUI- BFN
Oct-Nov 2016- IVF #2 with Estrogen Priming Micro Lupron Protocol, 2 eggs retrieved, day 3 transfer of 1- BFN
January 2017- New RE, IVF#3 with Estrogen Priming Antagonist Protocol, 12 eggs, 8 mature, 6 fertilized, 2 day 5 early blasts transferred (none to freeze
May 2017- Sept 2017- Starting Donor Egg process! Waiting for donor to be available... and then she is pregnant at baseline
Oct 2017- Donor #2: 25R, 22M,18F, 12 blasts frozen! Fresh transfer cancelled due to thin lining with fluid
Nov 2017- Hysterscopy to remove polyp
Dec 2017- DE FET #1 on 12/8 on 2 perfect blasts- BFN and devastated
Jan-Mar 2018- ERA #1- Post receptive by 24 hours, ERA #2 RECEPTIVE with 4 days of Progesterone
Apr 2018- DE FET cancelled for lining issues
Jun 2018- DE FET #2 of two 1AA blasts- first BFP ever! Beta 10dp5dt- 378, Beta 14dp5dt- 2840, Beta 16dp5dt- 4035, beta 18dp5dt- 10916. Due on 2/20 with one baby after a vanishing twin
Baby Born born early @ 33.5 weeks due to Pre-e
Back for # 2!
@Rachnan good luck tomorrow!
Me: DOR, poor egg quality, MTHFR
DH: MFI
TTC since 3/2014
2015: 3 IUI's-BFN
12/2015: 1st IVF cycle-(9 follicles retrieved, 5 mature, 3 fertilized w/ICSI, transferred 1 excellent and 1 good embryo on day 3)-chemical pregnancy
3/2016: 2nd IVF cycle- canceled (3 follicles retrieved, 3 mature, all fertilized w/ICSI, 1 fragmented, 2 arrested)
3/2016: RE suggested donor eggs- taking an ivf break and to supplement
9/2016: 3rd ivf cycle-cancelled due to early ovulation
Oct./Nov 2016: 4th ivf cycle- EPP-AFC:5, retrieved 10, 10 mature, 8 fertilized with ICSI, 6 blastocysts biopsied and frozen. 3 CCS normal embryos
1/18/17: beta #1-104
1/20/17: beta #2-174
2/2/17: first u/s, heartbeat of 107 at 6w1d
7/20/17: baby boy born at 30+3 via emergency c-section
3 early m/c before pursuing fertility treatments
Diagnosis: Unexplained
IUI #2: Mar 2016 (Follistim + Ganirelix + Ovidrel) *BFN
IUI #3: Apr 2016 (Follistim + Ganirelix + Ovidrel) *BFN
IUI #4: May 2016(Follistim + Ganirelix + Ovidrel) *BFN
IVF #2: begin stims mid August
@Rachnan Good Luck tomorrow!!! I can't wait for you to be PUPO!
IVF ER 5/5/2016
23 eggs retrieved; 15 mature; 8 developed to embryos; 6 frozen day 5; 2 frozen day 6
Transfer canceled OHSS
FET #1 6/2/2016 transferred 2 embryos
Beta #1 6/15/2016 BFN
FET #2 8/1/2016 transferred last 2 embryos (lost 4 in the thaw)
Beta #1 8/12/16 BFN
IVF #2: Started stims 12/2
ER #2 12/14/2016; 16 follies retrieved, 8 fertilized to day 1, 4 frozen day 5, and 1 frozen day 6
Praying my frosties are strong through the next thaw FX
FET # 3 2/07/2017 2 embabies thawed 2 embabies transferred
2/14/2017 *TW* First ever BFP
Beta #1 2/20/2017 277 Beta #2 2/23/2017 8,945...did I hear you right!
3/10/2017 One beating heart HR 168!! So very happy
3/10/2017 Official graduate from Jones Institute for Reproductive Health!! Couldn't help but cry
6/8/2017 Anatomy Scan proves ITS A GIRL!
10/30/17 An angel was Born; Riley Charlize 7:50 AM my heart is so full